行业动态
搅拌站生产设计与绿色智能化
来源:admin 浏览量: 发布时间:2023-12-05 10:47:51
1 搅拌站智能化生产改造的背景
随着国家大力发展“新基建”战略决策推出,数字化、网络化、智能化、绿色化发展道路成为传统产业转型升级和高质量发展的重要途径。近年来围绕首都功能定位,北京启动实施了疏解整治促提升的专项工作,据统计在“十三五”期间北京累计退出一般制造企业2 100余家,疏解腾退市场、物流中心900余个;在疏解首都功能过程中,总被污染诟病的搅拌站也在减少,仅2020年就拆除停产31个搅拌站。在这种情况下,必然要对搅拌站的生产方式、质量控制做出重大的改革,要想在传统生产方式与质量控制上提升效率,必须引入网络远程互联技术,实现生产、质量、线下、线上、实时动态管理跟踪的转变。
2 搅拌站智能化改造的意义
在混凝土的“下单–生产–运输–浇筑”过程中的信息化管理尤为重要。将网络远程互联技术应用到实际混凝土的下单、生产、运输、浇筑跟踪管理中去,有利于加快企业的转型,调节生产进度,减少管理成本。
3 搅拌站智能化生产设计分析
3.1 传统企业整体信息化、自动化程度低
现有的传统生产,多数由人工控制完成,且各环节信息化水平参差不平,多数停留在传统的线下干预方式进行信息管理,实际操作过程做不到规范统一执行,存在一定的误差。导致生产开盘延时、分配不合理、现有的资源得不到合理的利用,整体生产水平程度偏离理论预想,严重阻碍了企业发展。
3.2 混凝土产业各组织之间协调困难
当前企业各部门之间信息资源得不到共享,生产模式滞后,现有的信息资源还存在虚假的延误。搅拌站智能化生产,需要1整套完整的线上管理系统支撑各个部门系统之间的协调工作,实现生产管理共享,信息资料追溯。
4 搅拌站智能化生产研究途径
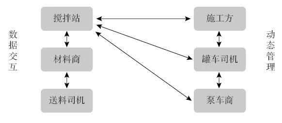
通过“下单–生产–运输–浇筑”一体化智能改造,建立围绕搅拌站为核心针对施工方、材料商、租赁方的线上管理信息化系统。
4.1 智能化系统改造
作为线上自动信息化管理系统,承担着工地智能下单、罐车智能排号、物资智能派送、质量自动监控等功能,集审核、定位、监管于一体,同时具有可追溯性。智能化升级总体框架如图1所示。

图1 智能化升级总体框架
(1)通过手机App线上点单,所有操作全部线上操作,持续提升客户满意度,提高企业市场竞争力。移动端送料系统如图2所示。
图2 移动端送料系统
(2)司机通过下载手机App,在每结束1次运输点击回站后,会在系统上出现1个相应的二维码,司机依次对准扫码口识别,系统会根据识别的顺序进行相应的排队,并在成功排队后投放到大屏幕上,也可在手机App上直接查看。避免司机等待疲劳,影响工作实效。同排队流程一样,系统会在司机到号的时候进行提醒,司机可根据二维码进行取票打灰,系统会直接关联搅拌机并在相应的搅拌机下面显示对应司机的车号。
(3)原材料进厂告别过去人工电话、上磅观察、手动称重、手动扣杂等系列人工操作,只需物资线上下单,系统会自动生产1个二维码推送到材料商手里,里面包括所需材料的全部信息,材料商根据搅拌站要求进行委派与运送,搅拌站可根据App实时监控原材料车辆信息,方便对生产进行合理安排,材料商司机也可通过App对搅拌站的原材料库存一目了然,根据二维码选择相应的吹灰口,自动识别对仓吹灰,实现吹灰“高效”“精准”“安全”的优势。移动端供料系统如图3所示。
图3 移动端供料系统
(4)完成质量自动监管,根据App实际发生的生产方量,对试块与进场原材料进行自动委托排序,并对试块与原材料对应的生产任务单关联,当发现不合格试块与不合格原材料,可通过系统对关联工地进行追踪统计,严格保证工程质量。
4.2 智能试验室
通过连接智能温湿控制、自动化抗压、抗渗、坍落度自动识别、报告自动生成,形成了1套完善的智能化技术质量管理体系。
(1)智能温湿度控制。通过红外感应将温湿度控制器与空调、加湿器(除湿机)连接,并设置相应的温度、湿度区间,以接近上限、下限为主,在每个对应的试验室安装温湿度传感器,把这些传感器连接到同一局域网上,并以网络连接的形式传送到显示屏上,在电视上清楚地记录与展示各原材试验室的温湿度,为试验环境过程节省了大量的人力,避免了人工读取温湿度数据监控不及时导致试验结果的不准确性。智能温湿度控制如图4所示。
图4 智能温湿度控制(计算机截图)
(2)智能全自动抗压、抗渗。智能抗压、抗渗由二维码芯片、自动识别、压力机、机械臂、抗渗仪五部分组成,通过系统自动委托,生成试件编号,在做试块成型前通过手机App对二维码芯片进行扫码录入,根据试件编号选择对应的工程名称、浇筑部位、标号等级、龄期。并进行影像留存,必须由取样人与验证人两个人同时上传,操作成功后上传至App生成试块取样信息。在养护龄期达到要求时,把试块放到对应的位置,由机械臂进行自动夹取,在放入压力机之前,对二维码芯片进行扫码识别,通过扫码把二维码信息录入电脑,系统识别后会根据试件的强度等级,按照相关标准规范要求自动切换试验速率、自动加荷完成检验,同时试验数据实时上传生成报告。混凝土抗压全自动智能检测系统如图5所示。
图5 混凝土抗压全自动智能检测系统
(3)实时质量监控。在质检楼、罐车安装车载视频摄像头及显示器。通过对出站罐里混凝土状态视频观察分析,对应地把坍落度合适的视频储存在系统里,通过大数据手段把罐车口视频同自动筛选系统连接,分析罐车到场后混凝土的流速与状态,同系统里混凝土坍落度进行比对,发现有质量隐患以及达不到浇筑要求的时候进行预警,做到对混凝土出场质量的全程监控,可以形成视频追溯,为混凝土质量保驾护航。
4.3 智能设备改造
(1)三位一体。中水系统、砂石分离机、厂区排水系统三位一体,生产过程产生的工业废水回收利用率达100 %。中水系统将雨水、部分生活用水等污水经过适当处理去除水中的泥沙、悬浮物、胶体、氧化剂,保证出水指标满足回用要求,经处理的中水可用到厕所冲洗、道路保洁、洗车以及砂石分离设备等,经测算在污水足量条件下,利用中水系统1 d处理污水,可满足全站60台罐车涮罐洗车;经过试验室前期对于泥浆水配合比的验证、适配、复试等检测工作,经过技术主任工程师审批后,再将搅拌均匀的浆水采取一定的技术措施用于低标号混凝土的搅拌,内部形成闭路循环,可以真正实现“三废”的零排放,根据测算,此系统实现渣土零排放,全年累计节约成本80余万元,实现降本增效,绿色发展;厂区排水循环形成闭合回路,三位一体,真正实现资源循环利用,零废物。
(2)智能洗轮机。整套设备采用PLC控制,红外线感应,车到即洗,车离即停,节约水量和降低电耗,设备采用全自动控制,无需人员值守,按照每天3 000 m3生产任务量,罐车与送料车每日接近300车次,相较于传统洗轮机,每辆车洗轮时间缩短30 s,提升生产效率。同时拥有完善的水处理系统,能够确保洗车水循环使用,节省了大量的水资源,据不完全统计,建恒站每年循环使用洗车水,累计节约成本20万元。
4.4 绿色改造
打破了传统站点建设受环境影响的评价,节省经济成本的同时,承担了较好的社会责任,通过绿色改造,不仅加深了全体员工的绿色环保意识,而且在提升混凝土质量的同时也获得了广大客户的认可。
(1)光伏发电。建筑光伏一体化发电项目,项目包含4台光伏设备。光伏发电是把太阳能转化为电能,不会产生噪声和废气,也不需要燃料,有效地杜绝了因为化石燃料的燃烧而产生的污染,并且太阳能取之不尽用之不竭,对环境“零污染”。光伏与建筑的结合,能够有效降低建筑用能,大力发展低碳、零碳建筑,对于节能减排、保护环境具有重要的现实意义。按照建恒站实际占地面积60亩测算,全部安装光伏发电后,可全部满足办公用电及其部分生产用电。
(2)燃油电动化。引进电动洒水车、电动扫地车、电动铲车“三辆车”。电动驱动零废气、零尾气、低噪音,实现零污染;传统铲车油耗、维修成本高,并且由于高能耗、高污染,每年还需面对相关政府部门检查、罚款的风险,而新能源铲车纯电动系统结构简单、免去更换机油、“三滤”等保养环节,维护保养大幅降低,综合经济效益凸显。每年节省约30万元成本;传统扫地车、洒水车油耗及维修成本每年4万元左右,而新能源电动洒水车、扫地车电费的成本是油费的1/10,并且维护简单,成本较低,经核算,每年节省油耗、维修成本约3万元。
5 结束语
搅拌站智能化生产打破了传统生产流程桎梏,全面实现生产智能化。首先要对企业性质和行业发展趋势进行深刻的认识,将环境、人员、设备及标准方法等进行收集、分析和管理,最大限度减少人为因素的干扰,采集数据、集成优化生产效率。伴随新一轮科技革命和产业变革持续推进以及日益竞争激烈的环境,搅拌站管理者必须高度重视和加强智能化体系的建设和研发,采取有力措施,逐步构建、优化、完善智能化生产系统,从而为企业长久发展奠定基础。
摘自《建筑技术》2022年10月,张鑫,贾少磊,赵浩,穆立明,胡迅诚,于志猛