4 参数分析
4.1 混凝土强度的影响
在其他参数相同的情况下,通过改变混凝土强度研究不同混凝土强度对节点抗震性能的影响。如图6(a)所示,得到不同混凝土强度的荷载–位移曲线,节点在弹性阶段、屈服阶段、退化阶段的侧向刚度都略有增加,由此可知屈服强度和峰值荷载随着混凝土强度的增加而增加。不同混凝土强度下累计耗能随混凝土强度的提高而增加,当混凝土强度从30 MPa增至80 MPa时,其累计耗能增加了27.40 %,如图6(b)所示。当混凝土强度从30 MPa增至80 MPa,试样的Pmax增加了16.84 %,如图6(c)所示。由此可知,通过增大混凝土强度可有效改善节点抗震性能。随着混凝土强度的增加,其延展性呈现先增加后逐渐减小的趋势。当混凝土强度从30 MPa增至40.4 MPa时延性系数随之增加,其延展性系数从4.16增至4.48增加了6.49 %,在混凝土强度为60 MPa时,延性系数达到最大为5.39,由此可知普通混凝土强度的提高可改善节点的延性。当混凝土强度从60 MPa增至80 Mpa时延性系数从5.39减小到5.10,下降了5.38 %,如图6(d)所示。


图6 混凝土强度对各性能的影响
(a)荷载–位移曲线;(b)累计耗能;(c)峰值荷载;(d)延性系数
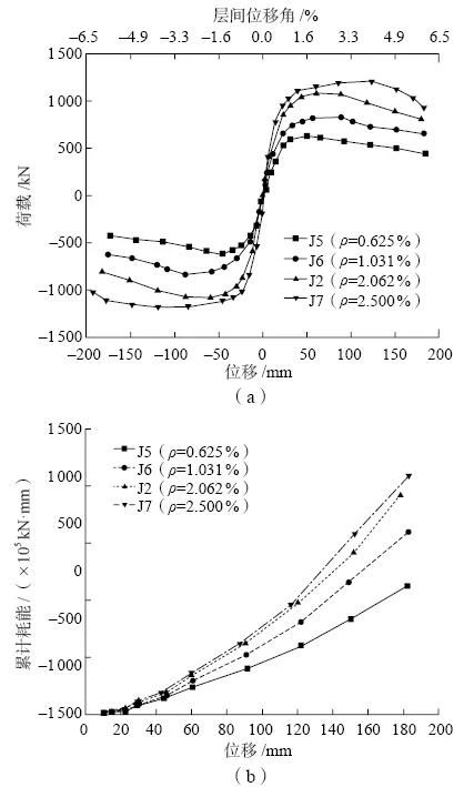
4.2 纵筋配筋率的影响
通过分析不同配筋率对荷载–位移曲线的影响可知,随着配筋率的提高节点刚度得到了明显的提高,如图7(a)所示。


图7 不同纵筋配筋率对各性能的影响
(a)荷载–位移曲线;(b)累积耗能;(c)峰值荷载;(d)延性系数
当纵筋配筋率从0.625 %提增至2.500 %时,累计耗能增加了76.590 %,如图7(b)所示提高框架柱的纵筋配筋率能大幅提升节点累计耗能,这与纵筋约束能力的提高有关。随着配筋率的提高峰值荷载显著提高,配筋率从0.625 %增至2.500 %,其峰值荷载提高了87.27 %,且延性也随之增大,由纵筋配筋率为0.625 %对应的4.22增至4.95,提高了17.30 %,如图7(c)所示。
框架柱中的纵筋与水平箍筋联合对框架节点核心区混凝土形成双向约束作用,提高了节点的抗剪承载能力。纵筋配筋率的提高可显著提高节点的承载能力和延性,对改善节点抗震性能有显著作用。
4.3 体积配箍率的影响
通过设置4种不同配筋的箍筋,比较体积配箍率对节点抗震性能的影响,随着体积配箍率的提高其刚度也有所提升,试样下降趋势较相似如图8(a)所示。


图8 不同体积配筋率对各性能的影响
(a)荷载–位移曲线;(b)累积耗能;(c)峰值荷载;(d)延性系数
体积配箍率对节点耗能能力的影响,从0.444 %增至2.222 %的过程中,累积耗能增加了27.52 %,如图8(b)所示。
随着体积配箍率的提高,峰值荷载随之增加,体积配箍率从0.444 %增至2.222 %,峰值荷载从884.15 kN增加到1 139.02 kN提高了28.83 %,由图8(c)所示。
延性系数随着体积配箍率的提高而增长,体积配箍率0.444 %对应的延性系数为4.04,随后增至4.70,增长了16.34 %,如图8(d)所示。
箍筋主要承受剪力,体积配箍率的提高增强了对框架柱核心混凝土的约束作用,限制混凝土的横向变形,防止纵筋过早屈服及斜裂缝的扩张,通过减缓节点的变形,从而达到提高节点的承载能力及增强节点延性的目的。
5 结论
本研究通过对钢筋混凝土柱–钢梁(RCS)节点抗震性能的分析得出以下结论。
(1)有限元分析可有效模拟地震时大尺寸RCS节点的抗震性能,其误差小于11 %,满足工程精度要求。
(2)通过对钢筋混凝土柱–钢梁(RCS)节点参数的研究可知,混凝土强度、纵筋配筋率、体积配箍率对节点抗震性能有显著影响,其中纵筋配筋率的影响最大,其峰值荷载提高了87.27 %。
(3)通过对节点累计耗能的研究可知,纵筋配筋率对节点累计耗能性能的影响较大,提高纵筋配筋率可显著提高节点的耗能能力。
(本文已完结)