行业动态
建筑技术 | 3D立体格栅–砂界面剪切性状试验研究
来源:admin 浏览量: 发布时间:2025-05-31 19:50:21
加筋土因土体与加筋材料的相互作用使土体的强度和稳定性增强,且具有经济环保、强度高等优点,在软土地基加固、边坡防护等岩土工程中得到了广泛的应用。直剪试验具有易操作、数据较准确等优点,是探究筋–土界面力学特性的有效方法。
在土体中放置不同的加筋材料可增强土体的强度和稳定性,学者对此进行了一系列研究,闫穆涵等利用大尺寸筋土拉拔试验仪开展了土工格栅与碎石间的剪切试验,提出了颗粒嵌固影响下的拉拔阻力计算方法,利用关键颗粒概念分析了碎石颗粒对格栅网孔的影响,指出拉拔阻力的大小与法向应力、颗粒级配和碎石粒径密切相关。刘飞禹等基于PFC3D直剪模型,探究了土工格栅–橡胶砂的界面力学特性,发现抗剪强度随橡胶颗粒掺量的增大先增加后减小。骆俊晖等通过室内拉拔试验,对碎石–土混合料的应变规律进行研究,得出土工格栅的应变随格栅纵向埋深的增加而减小,法向应力愈大,土工格栅的应变愈大。胡达等将连续不断的纤维置于土中,探究了纤维素纤维加筋土的力学特性,发现一定量的纤维能提高土体的抗剪强度和抗压强度,使土体密实度增加。左政等通过对不同规格土工格栅进行直剪试验,得出条带高度增加、结点距离缩小会使抗剪强度增大的结论。唐皓等以棕榈纤维质量掺量、长度为因素,开展了室内直剪试验,指出棕榈加筋黄土的内摩擦角和粘聚力与非加筋土相比均有较高提升。薛中飞等将软化的秸秆与黄土混合,探究其抗剪性能,发现黄土中掺入秸秆能有效抑制剪切带的发展。阎凤翔等通过对格栅–建筑渣土的界面摩阻特性进行了研究,认为是粘聚强度受到渣土级配和格栅特征的影响,而似摩阻系数仅由格栅类型决定。
尽管对土工格栅–土体界面相互作用的研究成果较为丰富,但大多数学者采用的土工格栅为传统格栅,对于新型土工格栅的采用较少,且3D打印作为一种新型工艺已广泛应用于医疗、航空等多个领域,因此,基于3D打印技术制作立体土工格栅,利用改进的应变控制式直剪仪开展了其与砂土的界面剪切试验,探究了土工格栅—标准砂的界面剪切特性,可为未来3D土工格栅实际工程的设计及施工提供参考。
1 试验准备
1.1 试验设备
本试验所使用的仪器为自主改进的室内应变控制式直剪仪,上剪切盒不变,下剪切盒内部放置土工格栅,如图1所示。剪切时,将下剪切盒放置在水平加载方向的钢珠上,上剪切盒固定,施加法向荷载后,施加水平力推动下剪切盒移动。

图1 直剪仪示意
1.2 试验材料
试验所用立体土工格栅由3D打印技术通过具有热塑性的PLA材料制成。格栅横肋厚度为10 mm、宽度为4 mm,纵肋厚度为4 mm、宽度为2 mm。本试验以立体格栅的不同横肋数量作为研究影响因素之一,分别制作了1根横肋、3根横肋、5根横肋等3种类型的格栅,分别定义为格栅A、格栅B和格栅C。试验采0.075~2 mm的中国ISO标准砂作为试验填料,其平均粒径为0.54 mm,密度为1.57 g/cm³。
1.3 试验方案
为探究3D立体格栅土界面剪切特性,本试验设计了不同横肋数、法向应力、干湿状态3种影响因素。试验前先将标准砂置于水中浸泡2 h,然后过0.075 mm的标准筛,过滤掉多余水分及杂质,制作湿砂。每种格栅分别施加50 kPa、100 kPa、150 kPa和200 kPa的法向应力,试验共计24组,具体试验方案见表1。为保证试验在压实度及其他条件不变,在同一影响因素下制作试样时称取相同质量的砂土,装入下盒并压实。试验具体操作规范参照JTG 3430—2020《公路土工试验规程》。
表1 试验方案

2 试验结果规律分析
2.1 剪切律分析
根据格栅A、格栅B和格栅C的直剪试验数据,绘制出不同法向荷载作用下的3D打印土工格栅–砂土界面剪切位移与剪切应力之间的关系曲线,如图2所示。由图2可以看出,3剪切应力在试验开始时随剪切位移的增加逐渐增大,随着试验的进行,筋土界面剪切应力达到峰值点,之后出现应力弱化现象,且法向应力越大,弱化现象越明显。

(a) (b)
图2 剪切应力–剪切位移特征曲线
(a)格栅–湿砂界面;(b)格栅–干砂界面
2.2 强度律分析
利用Mohr–Coulomb 抗剪强度准则进行抗剪强度与法向应力的线性拟合,得出界面抗剪强度指标,公式如下:
τf=σtanφ+c(1)
τf=σtanφ(2)
其中,式(1)为3D立体格栅–湿砂界面抗剪强度公式,而式(2)为3D立体格栅–干砂界面抗剪强度公式。利用式(1)和式(2)得到界面抗剪强度指标,统计见表2。
表2 界面抗剪强度指标统计

分析发现:任意一种立体格栅的筋–土界面抗剪强度均随着法向应力的增大而增加;在同一法向荷载作用下,界面抗剪强度随格栅的横肋数量的增大而增加,这是由于横肋数量增多,导致砂土与格栅接触面上的嵌锁作用和摩擦作用增强引起的,且位移较小时主要以摩擦作用为主,位移较大时以嵌锁作用为主。标准砂干燥时的界面抗剪强度明显比湿润时大。此外,可决系数R2均大于0.98,证明界面抗剪破坏符合Mohr–Coulomb强度准则。标准砂干燥时的界面摩擦角比湿润时大,随着横肋数量的增多,界面摩擦角逐渐增大,湿润时界面粘聚力随横肋数量的增大而减小。
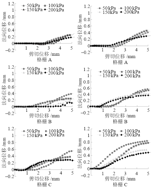
2.3 体变律分析
图3为法向位移–剪切位移特征曲线,规定法向位移增加为剪胀,减小为减缩。分析发现:对于两种干湿类型的标准砂,其体变特性均表现为剪胀,法向应力越大,法向位移越小,这是由于法向应力的增加抑制了砂颗粒在剪切过程中的翻滚。由于横肋的存在,加剧了砂与肋的摩擦,易造成砂颗粒的运动,使横肋数量越多,剪胀特性越明显。

(a) (b)
图3 法向位移–剪切位移特征曲线
(a)格栅–湿砂界面;(b)格栅–干砂界面
标准砂湿润时法向位移在0~0.6 mm范围内,而干燥时法向位移范围为0~0.9 mm,可见干燥时剪胀特性比湿润时明显,这是因为砂颗粒间水分的存在,对颗粒–颗粒、颗粒–肋之间起到一定的润滑作用,降低了颗粒–颗粒、颗粒–肋之间摩擦力以及砂颗粒的运动程度。
3 结论
(1)法向应力越大,剪切应力弱化现象越明显。
(2)随着横肋数量的增多,界面抗剪强度和界面摩擦角逐渐增大,标准砂干燥时界面抗剪强度及其指标比湿润时大,湿润时界面粘聚力随横肋数量的增多而减小。
(3)两种干湿类型的砂,其体变特性均表现为剪胀,剪胀体变量随法向应力增大而降低。横肋数量越多,剪胀特性越明显,干燥时剪胀特性比湿润时明显。
摘自《建筑技术》2024年2月,崔倩